Submit

Todd Feasel

Wholly Alive Coaching

By Registered Dietitian
on October 09, 2008
Optimal athletic performance requires food and nutrient intake that is tailored to each athlete’s sport, training schedule and individual needs. The basics of performance nutrition are discussed here to help maximize your physical potential and reach your performance goals. More...
By dotFIT experts
on October 10, 2008
The athlete’s goal is to have their stomachs relatively empty while energy stores are full at the start of training or competition. Following a specific eating pattern can maximize the storage and production of energy. By properly loading your energy systems (phosphocreatine and glycogen) that are rapidly depleted during exercise, you can delay fatigue and optimize performance during activity. More...

 

Recover&Build™ provides the key building blocks of muscle - branched chain amino acids - in the most CURRENTLY studied ratio that can reduce muscle damage and enhance recovery by

  • Supplying an additional fuel source to help meet energy demands
  • Supporting muscle protein synthesis
  • Minimizing muscle protein breakdown

The goal of this product is to speed up the recovery process which allows you to maintain intense training bouts and ultimately improve performance.


Why take this product?

dotFIT™ Recover&Build utilizes a proprietary "swell and release" delivery system in a tablet form to maximize the body’s utilization of branched chain amino acids. This formula contains the curent ideal ratio of these nutrients which can enhance recovery, minimize soreness and increase or maintain muscle mass.


Who should take this product?

dotFIT Recover&Build is suitable for

  • Athletes and exercisers of any fitness level during intense or excessive training bouts
  • Weight-conscious athletes or in-season bodybuilders
  • Anyone beginning an intense exercise program
  • In combination with other performance products to amplify their effects, especially to enhance recovery

Unique Features

  • Contains the CURRENT ideal ratio of branched chain amino acids - leucine, isoleucine and valine - in a convenient tablet form
  • Uses a proprietary “swell and release” delivery system for rapid release and uptake by the working muscles
  • Manufactured in a FDA registered facility, in compliance with Good Manufacturing Practices (GMPs) exclusively for dotFIT, LLC

Suggested Use

  • Minimum dose: Take five tablets before exercise
  • Optimal dose and for those over 200 lbs,  take eight tablets before exercise 

       

 

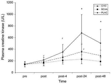
Table 1 demonstrates a greater reduction in creatine kinase (a marker of muscle damage) and muscle soreness with BCAA supplementation compared to a carbohydrate solution and placebo.

Reference: Greer BK et al. Int J Sport Nutr Exerc Metab. 2007 Dec;17(6):595-607.

Contraindications

  • BCAA supplementation is contraindicated in pregnancy and lactation because of the lack of studies done with this population.
  • BCAA supplementation is contraindicated for those with the hereditary disorder maple syrup urine disease or who have kidney disorders.

Get Your Fitness/Nutrition Advice!

chat

Need Our Help?

question_answer